• пʼятниця

    5 грудня, 2025

  • 3.5°
    Похмуро

    Миколаїв

  • 5 грудня , 2025 пʼятниця

  • Миколаїв • 3.5° Похмуро

Опубликован список дорог по Николаеву, на ремонт которых потратят ₴285 млн

Фото для иллюстрации

Стал известен перечень городских дорог, которые отремонтируют за 285 миллионов гривен кредитных средств и денег бюджета Николаева.

Список дорог опубликовала глава фракции «Слуга народа» в Николаевском городском совете Татьяна Домбровская на своей странице в Facebook.

Средства на ремонт городских дорог планируется распределить следующим образом: 150 миллионов кредитных денег – на капитальный ремонт дорог, 100 миллионов гривен – на текущий ремонт и ещё 35 миллионов гривен – на капитальный ремонт дорог. 

За кредитные средства в Николаеве капитально отремонтируют 17 дорог, из которых наибольшую сумму направят на дорогу по улице 2-я Набережная – её капитальный ремонт обойдется в 50 миллионов 837 тысяч гривен. Еще 17 миллионов 420 тысяч гривен потратят на ремонт дороги по улице 3-я Военная, от улицы Степовая до улицы Мастерская; 16 миллионов 179 тысяч гривен – на ремонт дороги по улице Шептицкого; 12 миллионв 744 тысячи гривен – на ремонт улицы Набережная, от улицы Московская до пешеходного понтонного моста и ещё 12 миллионов 6 тысяч гривен потратят на ремонт дороги по улице Баштанская, от улицы Троицкая до улицы 5-я Поперечная в частном секторе Ингульского района. На капремонт оставшихся 12-ти городских дорог потратят от 983 тысяч гривен до 8 миллионов 740 тысяч гривен на каждую. 

улица 2-я Набережная
улица 3-я Военная
улица Шептицкого

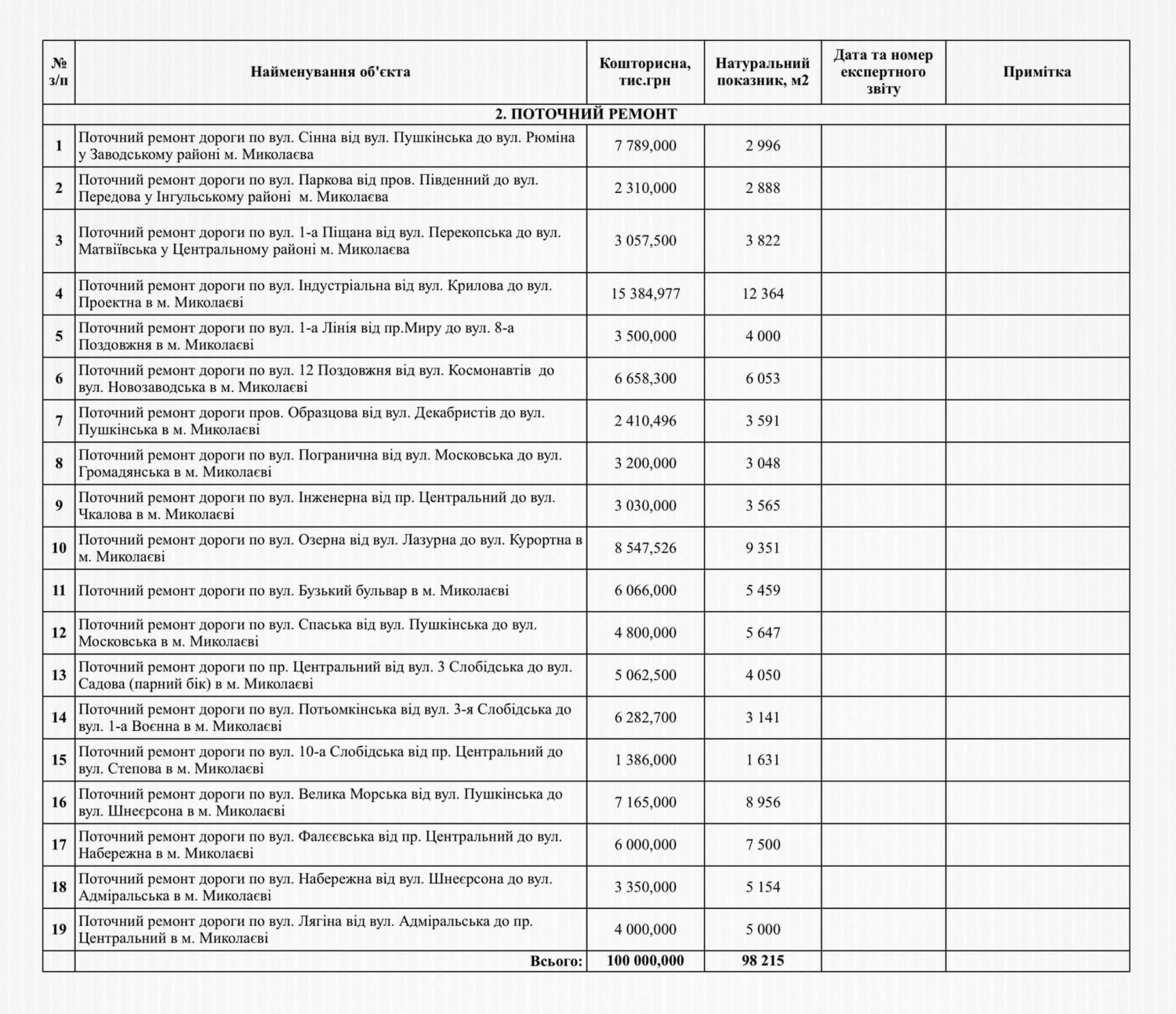
Средства городского бюджета на текущий ремонт 19 дорог Николаева распределяются следующим образом: 15 миллионов 387 тысяч гривен потратят на ремонт улицы Индустриальная, от улицы Крылова до улицы Проектная, 8 миллионов 547 тысяч гривен – на ремонт улицы Озерная, от улицы Лазурная до улицы Курортная; 7 миллионов 789 тысяч гривен – на ремонт улицы Сенная, от улицы Пушкинская до улицы Рюмина; 7 миллионов 165 тысяч гривен – на ремонт улицы Большая Морская, от улицы Пушкинская до улицы Шнеерсона. На текущий ремонт оставшихся 15-ти городских дорог планируют направить средства в размере от 1 миллиона 386 тысяч гривен до 6 миллионов 658 тысяч гривен на каждую.

улица Индустриальная
улица Озёрная
улица Сенная

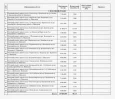
Из городского бюджета также потратят средства на капитальный ремонт 5-ти дорог. В частности, 13 миллионов 308 тысяч гривен на капремонт улицы Новозаводская, от улицы Херсонское шоссе до улицы Китобоев; 10 миллионов 544 тысячи гривен – на улицу Пограничная, от улицы Пушкинская до улицы Московская; 7 миллионов 899 тысяч гривен – на капремонт улицы Никольская, от улицы Соборная до улицы Пушкинская; 2 миллиона 457 тысяч гривен – на улицу Строителей, от проспекта Богоявленского по улице Кузнецкая, а также 880 тысяч гривен направят на капремонт дороги по улице 2-я Набережная. 

улица Новозаводская
улица Пограничная
улица Никольская

Напомним, ПАО «Банк Восток» выиграло конкурс на кредитование Николаевского горсовета на сумму 150 миллионов гривен, чтобы отремонтировать дороги в Николаеве. Банк предложил процентную ставку в размере 11,75% годовых. 

В июле 2021 года депутаты горсовета не поддержали соответствующий проект решения, после чего мэр Николаева Александр Сенкевич назвал саботажем действия депутатов.

Однако спустя месяц – в августе 2021 года Николаевский городской совет большинством голосов все же поддержал решение взять кредит в размере 150 миллионов на ремонт дорог в городе. Таким образом был пройдет последний этап для получения средств.

Реклама

Читайте також:

0
Обговорення

Щоб долучитись до коментарів на сайті МикВісті.

Приєднатись до Клубу МикВісті
Можете скасувати у будь-який момент Payment systems